Formeln nur als Bild kopierbar

  • Die Formel wird ja nicht durch einen Text dargestellt, sondern ist die bildliche Präsentation einer durch MathML (W3C) beschriebenen Formel. Dadurch siehst du nur das Bild und kannst es auch nur als Bild kopieren.

    In diesem Fall kannst du dir jedoch den Quelltext ansehen, indem du "Bearbeiten" aufrufst. Dürfte aber nur selten hilfreich sein.

  • Hallo,

    um Text aus einem Bild herauslesen zu können, bräuchtest du eine Texterkennungssoftware, auch OCR (Optical Character Recognition) genannt. Wenn du z.B. "ocr open source" googelst, scheint es da schon einiges auch kostenlos zu geben. Ich kann keine wirkliche Empfehlung aussprechen, da ich hier zu wenig Ahnung habe, aber FreeOCR ist z.B. einer der ersten Googlevorschläge. In MS Office (One Note?) scheint ebenfalls irgendwo eine Texterkennung dabei zu sein.

    Für einen ersten Eindruck der Funktionsweise von OCR Software kannst du mal die Onlinetexterkennung unter http://www.free-ocr.com/ versuchen (auch das nur ein Blindtreffer meinerseits unter den ersten Googleergebnissen). Hier wirst du schnell sehen, dass er die Formel aus deinem Wikipediaartikel sogar erkennt, sie aber unformatiert und teils fehlerhaft (so wurde hier die Zahl "2" als "z" erkannt) hinten rauskommt. So in der Art:

    Code
    PM _, yp) = sinz (M4lg3) .3111’ (29111)


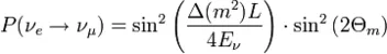
    Im Vergleich dazu das Originalbild:
    [attachment=0]190fe6aeba66d1d798d83d8b6577baf9.png[/attachment]
    Das genannte FreeOCR spuckst das aus:

    Code
    PP/~ ~#> :Si1'12  V
    45” 'S11'12 (25)


    Hier kann man auch nochmal feiner erkennen lassen, indem man einen Rahmen um den zu erkennenden Text zieht. Markiere ich so nur das sin², erkennt er schon:

    Code
    sin?


    Unter Umständen ist das ja schonmal garnicht schlecht, jenachdem, was man halt braucht.

    Es gibt zwischen den verschiedenen Programmen auf jeden Fall qualitative Unterschiede (kann mir auch vorstellen, dass man die teils "trainieren" kann), sodass es sich vielleicht lohnen könnte, zu vergleichen. Im Fall der Formeln bräuchtest du wohl eine Software, die mit der entspr. Formatierung (MathML (W3C) wie .Hermes sagte?) umgehen kann. Da kann ich wie gesagt nichts weiter zu sagen, aber vielleicht gibt es sowas ja oder ein anderer netter Nutzer aus dem Forum kennt etwas.

    Viele Grüße